令和3年度の地域別最低賃金の改定額を取りまとめ
厚生労働省は、都道府県労働局に設置されている地方最低賃金審議会が答申した令和3年度の地域別最低賃金の改定額(以下「改定額」)を取りまとめました。これは、7月16日に厚生労働大臣の諮問機関である中央最低賃金審議会が示した「令和3年度地域別最低賃金額改定の目安について」などを参考として、各地方最低賃金審議会で調査・審議した結果を取りまとめたものです。
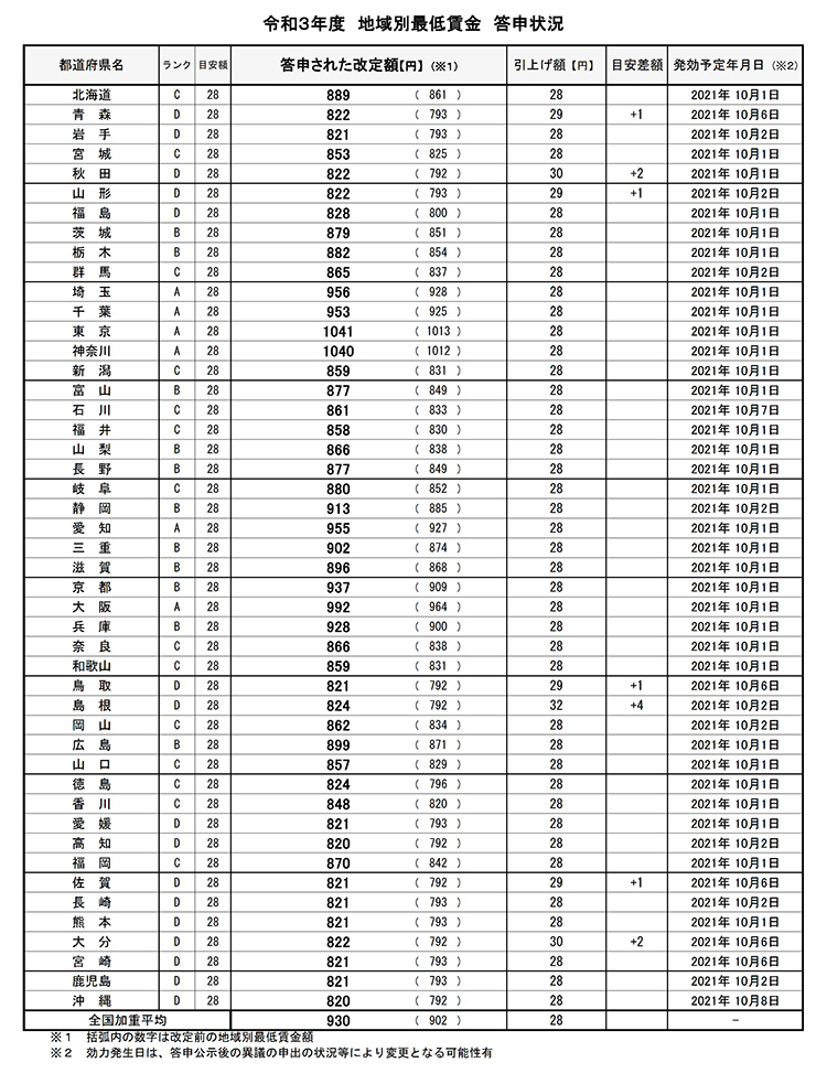
答申された改定額は、都道府県労働局での関係労使からの異議申出に関する手続を経た上で、都道府県労働局長の決定により、10月1日から10月上旬までの間に順次発効される予定です。改定額及び発効予定年月日は下記のとおりです。
■令和3年度 地方最低賃金審議会の答申のポイント
・47都道府県で、28円~30円、32円の引上げ(引上げ額が28円は40都道府県、29円は4県、30円は2県、32円は1県)
・改定額の全国加重平均額は930円(昨年度902円)
・全国加重平均額28円の引上げは、昭和53年度に目安制度が始まって以降で最高額
・最高額(1,041円)に対する最低額(820円)の比率は、78.8%(昨年度は78.2%。なお、この比率は7年連続の改善)
詳しくは下記参照先をご覧ください。
参照ホームページ[ 厚生労働省 ]
https://www.mhlw.go.jp/stf/newpage_20421.html